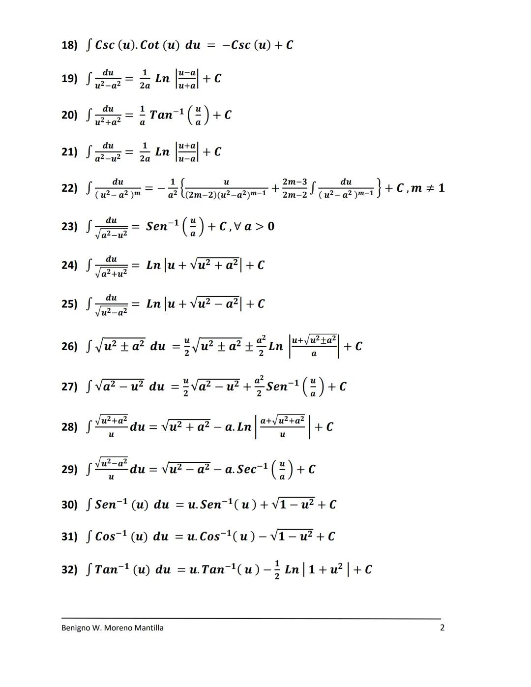
Te ayudará mucho con respecto a los ejercicios de integrales por sustitución, por partes y por razones trigonométricas. Hechale un vistazo 🥰
Inscríbete para ver los apuntes¡Es gratis!
Acceso a todos los documentos
Mejora tus notas
Únete a millones de estudiantes
Al registrarte aceptas las Condiciones del servicio y la Política de privacidad.














